Dear Developers
We would like to use SUMO for make a simulation of electric city bus.
Please help for us the following questions.
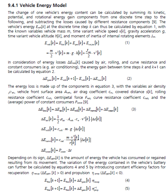
About the SUMO Proceeding description the Vehicle Energy Model working on:

In case ηprop
is the efficiency of the total driving system between the battery and the roadway.
Some other study has efficinency of the driveline elements and power converter:

- So is it correct to calculate the
ηprop=ηdrive
equal „Forward” mode? Because of ηdrive
≈ ηb
* ηm
* ηco
* ηtire
≈ 0.72, so usually ηprop
need to be 0.70÷0.80 in „Forward” mode?
- Pconst.
is the average power of constant consumer like heating, cooling air ventilationing, air compressor, etc. which get energy from the battery via power converter (ηpc
=0.95). The equation (3)->(2)->(5) the battery energy decreasing by the constant consumer energy (with some others):
Econst
/ ηprop.
It looks like the constant consumer energy goes trought the total driving system. Please clarify for us if we think wrong, because of this calculation cause higher consumption of constant consumer.
- Please clarify for us what Recuperation efficiency – ηrecup
– means exactly. Is it the efficiency the total driving and power converter system from the tires to the battery? So is it correct to calculate the
ηrecup=ηdrive
equal „Backward” mode? Because of ηdrive
≈ ηb
* ηm
* ηco
* ηco
* ηtire
≈ 0.56, so usually ηrecup
need to be 0.50÷0.60 in „Forward” mode?
- Or
should be use?
Thank You for Your short answer.
Best regards,
Petró János