| Can CompoundDirectedGraphLayout autoplace this? [message #209695] |
Fri, 17 February 2006 23:39  |
Eclipse User |
|
|
|
Hi,
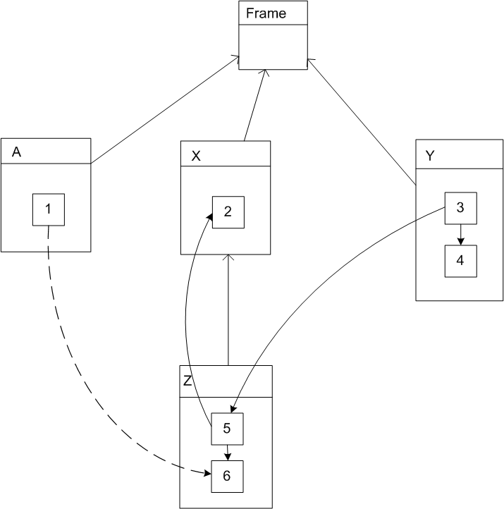
I have a nested digraph I need to autoplace. There are two digraphs that do
not interconnect, but the nodes of the inner digraph are constrained by the
fact that they live inside the nodes of the outer digraph. There will not
be any cycles. I have attached an example image.
Can CompoundDirectedGraphLayout be used to autoplace this?
Thanks,
Rick Kissh
|
|
|
| Re: Can CompoundDirectedGraphLayout autoplace this? [message #209766 is a reply to message #209695] |
Mon, 20 February 2006 11:49  |
Eclipse User |
|
|
|
Originally posted by: none.us.ibm.com
The fact that they do not connect will not be a problem. But, to get the
same spacing, you will have to make certain edges longer. You might try by
setting edges between subgraphs to delta=2.
"Rick Kissh" <richbk@hotmail.com> wrote in message
news:dt68e4$i6t$1@utils.eclipse.org...
> Hi,
>
> I have a nested digraph I need to autoplace. There are two digraphs that
> do not interconnect, but the nodes of the inner digraph are constrained
> by the fact that they live inside the nodes of the outer digraph. There
> will not be any cycles. I have attached an example image.
>
> Can CompoundDirectedGraphLayout be used to autoplace this?
>
> Thanks,
> Rick Kissh
>
>
>
|
|
|
Powered by
FUDForum. Page generated in 0.06583 seconds